ÉTUDE DE CAS
RP-3500, Camonsertib®
WO 2025057106 A1 & J. Med. Chem.
2024, 67, 7, 10251-10284
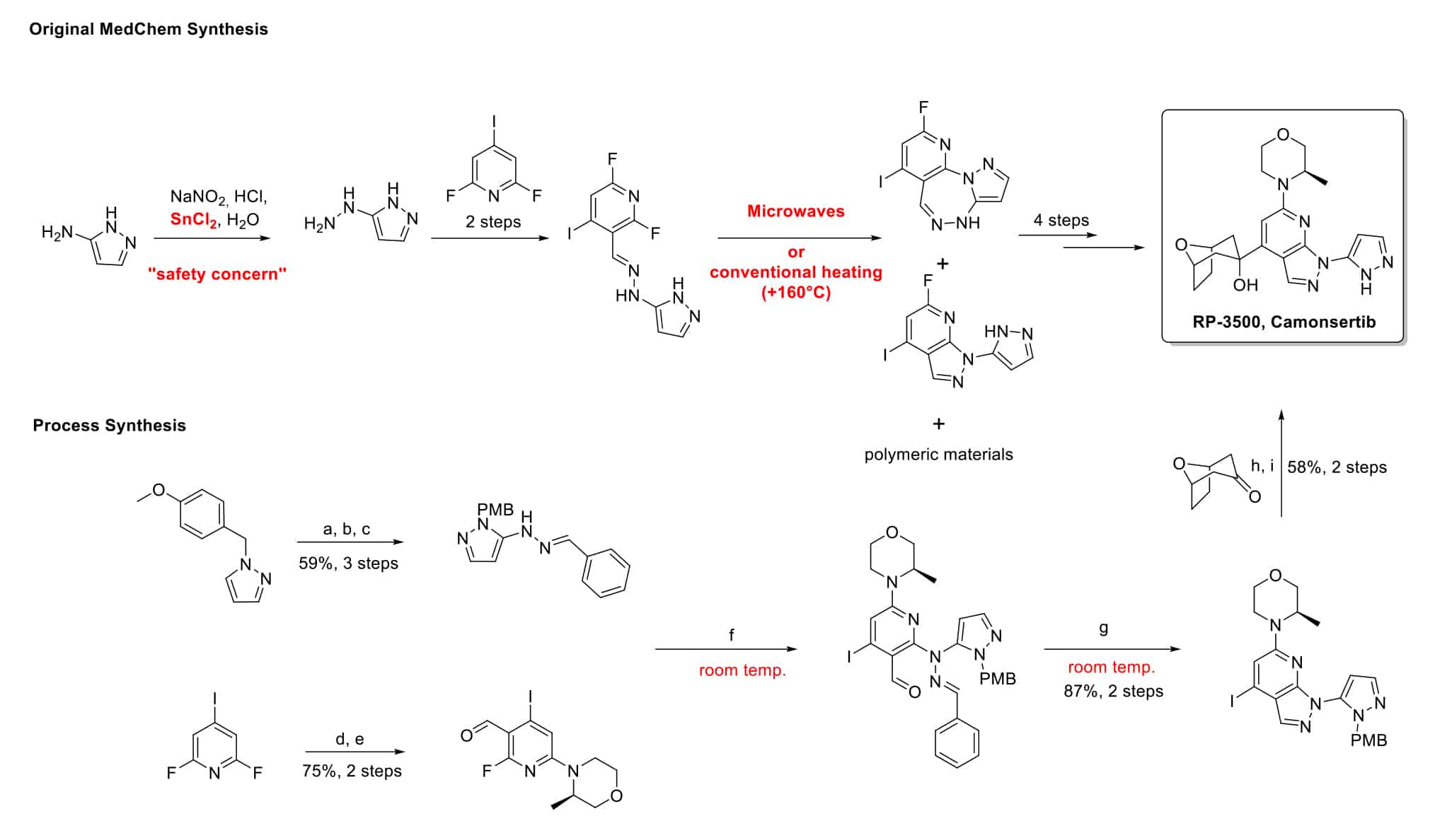
Chemical development for the synthesis of (1R,3r,5S)-3-(6-((R)-3-Methylmorpholino)-1-(1H-pyrazol-5-yl)-1H-pyrazolo[3,4-b]pyridin-4-yl)-8-oxabicyclo[3.2.1]octan-3-ol, a potent and selective ATR inhibitor.
| Original MedChem Synthesis | Optimized Process |
|
Diazotation of low molecular weight molecule and use of tin reagent High temperature (+160 °C) SNAr cyclization that produce isomers and polymeric materials when conventional heating was used instead of microwaves Low yield and non regioselective late-stage protection of a pyrazole group |
Room temperature and regio-controlled SNAr cyclization that provides single isomer GMP synthesis successfully reproduced on +100 kg scale by third party |
Reagents & conditions: (a) n-BuLi, DBAD, THF; (b) SOCl2, MeOH, 67% for two steps; (c) PhCHO, MeOH, 88%; (d) (R)-3-methylmorpholine, DMSO, 95 °C, 95%; (e) POCl3, DMF, toluene, 58 °C, 79%; (f) t-BuOK, DMF, THF; (g) TFA, MeOH, THF, H2O, 87% for two steps; (h) EtMgBr, CeCl3, THF, −20 °C to rt, 70%; (i) TFA, cysteine, 50 °C, 83%.
Sygnature Discovery completed chemical development and process optimization for RP-3500, Camonsertib® (WO 2025057106 A1 & J. Med. Chem. 2024, 67, 7, 10251-10284), a potent and selective inhibitor of ATR, a critical kinase implicated in DNA damage response pathways and a promising target for cancer therapy. Efficient, scalable access to this structurally complex pyrazolo[3,4-b]pyridine derivative was crucial for supporting its advancement into clinical trials.
The original medicinal chemistry route was notably problematic, involving diazotation of low molecular weight precursors and environmentally challenging tin reagents. It also featured a high-temperature (+160 °C) SNAr cyclization, which under conventional heating conditions frequently resulted in mixtures of regioisomers and undesirable polymeric impurities. Furthermore, a subsequent pyrazole protection step suffered from poor regioselectivity and consistently low yields, significantly limiting scalability and practical GMP manufacturing.
Leveraging extensive synthetic expertise, Sygnature Discovery optimized the route with a transformative, room-temperature, regio-controlled SNAr cyclization, elegantly resolving previous selectivity and impurity challenges to produce a single, desired isomer efficiently. This significantly streamlined process enabled the successful reproduction of GMP synthesis on a substantial scale exceeding 100 kg by a third-party manufacturing partner.
This optimization highlights Sygnature Discovery’s capabilities in innovative synthetic route design, dramatically enhancing scalability, purity, and process robustness—critical parameters facilitating reliable and efficient transition from preclinical investigations to clinical-stage drug development.
< Développement chimique et chimie des procédés
